“中国对美国所有商品加征34%关税”进行对等反制,这个新闻,大家肯定都瞧见了。
很多中国网友纷纷大赞,这次咱们确实一点都没惯着美国。
同时更震惊于美国官方的那个所谓“对等关税税率”的计算公式。
猛地一看,似乎还真是挺专业的。但咱们的央视新闻三两句话就给“破解”了——简单粗暴、毫无经济学基础。
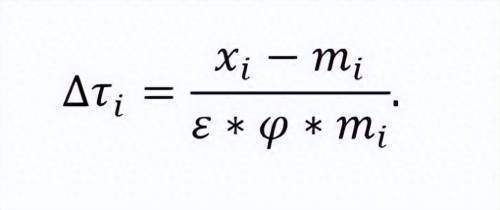
先计算与某一贸易伙伴的贸易逆差(即从该国的进口额减去对该国的出口额),然后用这个逆差额除以美国从该国的总进口额,得出贸易逆差比率。
将上述贸易逆差比率除以2,作为关税税率,但税率不得低于10%。
简化后就是下面这个样子了
按照这个公式,美国从中国进口额:4389亿美元,美国对中国出口额:1435亿美元。
两个数字做减法就是贸易逆差:2954亿美元
贸易逆差比率:2954 ÷ 4389 ≈ 67.3%
那么关税税率就是——67.3% ÷ 2 ≈ 33.65%(四舍五入为34%)。
同理,美国对日本征收的24%,对欧盟实施的20%,也是这样算出来的。
而且,本次加征关税最高的,还真不是咱们中国,而是越南——加46%的关税。
甚至,特朗普的关税,连企鹅也没放过,非常的“公平”。
对于美方的这番毫无道理且没有任何专业技术含量的关税制裁,咱们马上做出了对等反制——中国对美国所有商品加征34%关税 。
注意,是原产于美国的“所有”商品,对等加收关税——所有商品,而非专门的某类商品。
这也意味着,美国怎么个玩法,中国立马跟上,对等加税。
要知道,美国出口给中国的,像芯片、半导体、航天材料这些有科技含量的东西,几乎早就禁了。目前排在前面的主要都是初级农产品。比如大豆、玉米、棉花等等,其次是石油、天然气这类的能源,还有一些塑料/橡胶及制品和木材...
很明显,地球上能出口这些东西的国家,不止美利坚这一个。巴西、澳大利亚、俄罗斯也多的是。
更何况,中国作为一个制造业大国,原本就是很多国家最大的贸易伙伴。
这也自然是咱们中国有底气进行反制的一个原因。
但其他的那些被美国加征了“对等关税税率”的国家和组织,就没这么痛快了。
官方层面上看,无论是欧盟还是日本,都只是在“扬言要反制”,具体执行上,还处于内部互相扯皮阶段。
加拿大倒是搞了个加征25%的提案,但目前还在国会讨论中。另外那个给特斯拉征100%关税的说法,只是网传而已,没有任何官方表态。
总之,这群发达国家政府层面的反应主要是——雷声大雨点小,光吵吵,不动手。用的措辞也多是“不排除”、“正在考虑”、“或将”....且集中在某几个重点领域,而非“所有美国商品”。
它们民间的表现,倒是非常值得品一品。
大致上是:
欧盟、加拿大:干的好,中国很有执行力;
越南、泰国、墨西哥:中国很牛,羡慕;
日本、韩国:最开始的时候,新闻媒体非常默契的都没怎么报道(特别是这段时间的韩国),只装作没看见。后来网络上传开后,日韩网民们也纷纷认为,自己的国家应该赶紧做点什么,不能一直这么怂。尤其是日本,感觉还是得挣扎着硬刚一下。
印度的态度就很有意思了:竟然暗中有些窃喜。
一方面是,美国对印度商品加收26%的关税,这个数额不低,说明印度很厉害,一股自豪感油然而生。
另外则是,特朗普对印度服装制造业的南亚竞争对手——孟加拉国、斯里兰卡也搞了非常厉害的关税制裁。这么一来,印度或成为这一赛道的受益者。
当然,咱们还是重点说说特朗普的铁粉,一些美国红脖子们是怎么想的。
毕竟,这可是懂王一大的基本盘。如果他们中的大多数不认可的话,如今的美国政府是不会这样做的。
虽然咱们经常嘲笑这群美国人受教育水平低,脑子不灵光,但有关这件事情,红脖子们还是能预测到一些明显影响的,即——以后买东西,肯定会比现在贵。
那么,在他们朴素的逻辑里,既然外国货也贵,美国货也贵。当两个东西的价格差不多的时候,甚至国货更便宜了,那美国人就会主动去买美国货了。
这样一来,美国制造业将会重焕发活力,这不就人人有工作有奔头了吗?
有关上述想法,大家可以搜搜那个视频,一个普通美国红脖子大叔,以打火机为例,来表达他自己对特朗普关税政策的支持。
他在视频里拿了个金属打火机(底下的评论推测,这个打火机看起来好像类似zippo之类的“名牌”,不是平价货)
他说,这样的打火机美国产的话,原本要卖25美金。
后来,有了进口货,只卖20美金。这20美金里面可能有5美金是被美国进口商赚走了,然后15美金就跑美国国外去了。
加了关税以后,那么20美元的进口打火机可能就得卖到30美元。这样的话,美国消费者自然会选择购买美国国产货,而不是进口货了。
之后美国厂子都活了过来,美国人人有工作,福利什么的也会好起来了...
这不就是——美国再次伟大啊。
只是,这大叔还是没捋顺清楚这几件事情。
首先,你拆开这个打火机,可以肯定,里面的大部分元件都不是美国本土生产的。
你想把整个打火机产业链留在美国,首先得建立这些供应链。这可不是吹口气它就能自己冒出来的。需要专业人才和工程师,而美国人都去学商科了,只有移民还在学科学,但移民又都被特朗普赶走了。'
此外,现在售价25美元的打火机的价格构成大概是:中国制造出厂价15元人民币(2美元),贸易商利润及运输成本(3美元),美国国内分销商分10美元,美国零售商分10美元。
如果你想全产业链在美国生产,光成本就要翻上5到7倍,到了25到35美金,再加上中间环节,你猜猜零售价格会是多少?100美金还差不多,何止是贵了5元10元…
全套制造业要按美国工资搞起来,那物价那得多高。
更何况,发展工业,需要大量受过专业教育培训,拥有组织纪律性的产业工人。
如今美国群众的平均劳动素质,早已不复从前了。
你就看那些蹒跚地扭动着肥胖而油腻的身躯,加减乘除都捋不清的美国基层民众,他们是否还能像自己的前辈那样,成为美国制造业流水线上的吃苦耐劳、技艺精湛的合格产业工人呢?
就说当年曹德旺去美国建厂,选工人的时候他发现,能用的几乎都是白人老头,很多中年人根本不会使电脑,打字都是两个指头的“二指禅”。
对了,别忘了工会的存在
那个曹德旺和马斯克都极力排斥的美国工会。
可以说,属历史悠久,势力强大的美国工会,发展到现在,早就变了味,成了美国工业的“毒瘤”。
当代美国,有一个常见的现象:工会越强大的公司和行业,往往效率就越低下、服务态度就越差,产品也越不靠谱。
典型的就说波音公司。
一些组装飞机的操作工吸食大麻都没人敢管,上级领导更是假装看不见。
这么一来,什么波音飞机舱门不翼而飞、波音飞机轮胎掉落、波音引擎起火等“事故”似乎也就此大致能解释通顺了。
所以呢,美国的红脖子们还是要多多放眼看世界,好好反思一下自己国家是不是也有问题。
但凡过过脑子也应该能想明白,制造业转移到了中国和海外,美国其实是在占便宜薅羊毛。美国人觉得美利坚不如以前那么“伟大”了,主要是他们国内目前出现了严重的分配问题和其他乱象。
最后,还是那句老话,内病外治,通常都不会有好结果的。





















